Mathematical expression in LaTeX-like format.
property Text: TRVUnicodeString;
See https://en.wikibooks.org/wiki/LaTeX/Mathematics
Differences from LaTeX:
▪the symbols "[]{}" after "\left" and "\right" must be prefixed with "\" (i.e. "\left\[" instead of "\left[" in LaTeX);
▪matrices are defined as "\matrix{ a_11 & a_12 \\ a_21 & a_22}"
▪conditions are defined as "\case{ a_11 & a_12 \\ a_21 & a_22}"
Unlike text items, this is not the text returned by TCustomRichView.GetItemText.
Use TRichViewEdit.SetCurrentItemExtraStrPropertyEx to change value of this property as an editing operation (RVMathItem.rvespcText).
Examples of values and results:
\forall x \in X, \quad \exists y \leq \epsilon
![]()
k_{n+1} = n^2 + k_n^2 - k_{n-1}
![]()
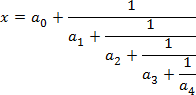
x = a_0 + \frac{1}{\displaystyle a_1 + \frac{1}
{\displaystyle a_2 + \frac{1}{\displaystyle a_3 + \frac{1}{a_4} } } }

If the expression is incorrect, the item is displayed in an erroneous state.